查看: 97|回复: 1

34 张图详解网络设备知识

[复制链接]

4

主题

7

帖子

15

积分

新手上路

Rank: 1

积分
15
发表于 2023-4-26 19:29:34 | 显示全部楼层 |阅读模式
Hi ,大家好,我是 Fox 。网络其实很简单,就是一堆设备连接在一起,然后在上面跑各种网络协议,实现设备之间的网络互通。其中第一步便是把所有设备按照一定的规则连接起来。这些设备可能是路由器、交换机、防火墙等网络设备,也可能是服务器、电脑、手机等需要接入网络的设备。为了完成各种设备的连接需求,会用到网络物理层的连接标准和连接线缆,也就是网线或者光纤等。因此,汇总整理了网络设备常见的 38 个知识点,让理论不再纸上谈兵,通过实践理解网络概念。
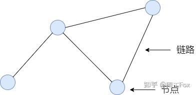
1、网络有哪些构成?

由交换机、路由器等网络硬件,以及个人计算机、服务器等计算机硬件构成,这些硬件都叫做节点,节点之间通过链路进行连接。
2、什么是节点( node )?

计算机、交换机、路由器等构成网络的硬件都可以称为通信节点。
3、什么是链路( link )?

将各个节点进行连接的线路,可以使用有线线缆或者无线电波。



4、什么是主机( host )?

通过网络为其它机器提供服务的计算机,也称为服务器
5、什么是客户端( client )?

从主机获得服务的计算机,比如个人计算机等,也称为终端



6、什么是客户端服务器型

区分服务提供方和服务接受方的架构。客户端向服务器请求服务,而服务器响应客户端的服务请求。比如:HTTP 通信。
7、什么是点对点型

不区分服务提供方和服务接受方的架构。参与网络的计算机有可能是网络中的服务器,也有可能成为网络中的客户端。比如:Skype 通信。
8、什么是 LAN(局域网)?

用于机构内部通信与信息传递。使用以太网技术在公司或学校范围内构建网络。LAN 分为使用线缆的有线 LAN 和使用电波的无线 LAN 。一般在 LAN 内部使用私有 IP 地址。
在使用线缆连接 LAN 时,用户的个人计算机通过以太网线(双绞线)连接交换机,然后由交换机连接路由器,最终在路由器处理不同子网和发送到互联网的通信。
9、什么是 MAN(城域网)?

使用光缆在相距较远的校园园区或城市内建立通信的网络,比 LAN 的范围要广。
10、什么是 WAN(广域网)?

范围比 LAN 和 MAN 都要广,用于跨区域或国家间的远程通信。一般有电信运营商建设。在 WAN 中使用公网 IP 地址进行通信。
家庭或企业在连接互联网时,需要与 ISP(互联网服务供应商)签订合同,通过 ISP 提供的接入点完成连接。而接入点的连接则需要通过电信运营商提供的服务来完成。
11、中国有哪些 ISP电信运营商

ISP 和电信运营商是同一家公司的有中国电信、中国联通等。ISP 中较为著名的有长城宽带等。
12、WAN 有哪些服务类型?

根据用途可分为:最后一公里接入、移动通信、VPN 、专线。



13、什么是 OSI 参考模型

早期的网络协议主要有 IBM 公司的 SNA 、Apple 公司的 AppleTalk 、Novell 公司的 NetWare 等。它们使用的不同厂家生产网络硬件而大相径庭,因此出现了不同网络之间不能互联以及扩容困难的问题。
为了解决这个问题,使得任何厂家生产的网络硬件之间都能互联互通,制定了称为 OSI 参考模型的分层网络模型。
使用分层结构模型有很多优点:按功能分类,便于理解和掌握;定义标准接口,使不同厂商的硬件可以互联;设计和研发网络硬件时,会限定在一定范围内;当某层发生变化时,不影响其它层。



14、OSI 参考模型的数据形式网络协议有哪些?



15、L2 ~ L4 的数据形式是什么样的?





16、TCP/IP 分层模型和 OSI 参考模型有什么对应关系





TCP/IP 分层模型的网络接入层和 OSI 参考模型的物理层相当,但并没有对硬件及数据传输等进行标准化定义。
17、TCP/IP 分层模型的各层分别对应了哪些网络硬件





18、什么是以太网标准

以太网原本是指使用 CSMA/CD 的控制方式,实际速率为 10Mbit/s 的标准。随着技术的迭代,速率为 100Mbit/s 的快速以太网和速率为 1Gbit/s 的千兆以太网逐步登场。从快速以太网开始,采用了全双工通信方式,而不是 CSMA/CD 技术的以太网。
到千兆以太网,半双工通信中还保留了 CSMA/CD 技术规范。到了万兆以太网,就彻底移除 CSMA/CD 规范,所有通信方式都采用全双工方式。
19、不同类型的以太网区别有哪些?





20、IEEE 802.3 标准根据使用的传输线缆和传输速度的不同,有 10BASE-T 、10BASE-TX 等名称。那么标准的命名规则是什么?





Lane 是在 40G/100G 以太网传输中使用的并行传输通道。
IEEE 802.3 定义的链路速率


IEEE 802.3 定义的调制方式



IEEE 802.3 定义的传输媒介



IEEE 802.3 定义的编码体系



IEEE 802.3 定义的lane



21、10Mbit/s 以太网的主要标准有哪些?





22、快速以太网的主要标准有哪些?





100BASE-T 是 100BASE-TX 、100BASE-T4 、100BASE-T2 的统称。目前 100BASE-T4 、100BASE-T2 不再使用,主要使用 100BASE-TX
23、千兆以太网的主要标准有哪些?





24、万兆以太网的主要标准有哪些?





WIS ,广域网接口子层的简称。LDPC ,低密度奇偶校验码的简称。
25、40G/100G 以太网的主要标准有哪些?





26、以太网的数据按照什么顺序传输?

以太网采用小端顺序方式传输比特流,也就是说 1 个字节( 8bit )的数据,会从最低位开始传送,将每 8bit 数据中的 0 与 1 顺序颠倒进行传送。FDDI 以及令牌环等网络,则采用大端顺序进行传输数据。



在网络上进行传输的二进制数据使用的字节排列顺序也叫做网络字节序。TCP/IP 协议中都使用大端顺序开始传送数据。
27、网络硬件有几种类型?

网络硬件分为通用服务器专用设备两大类。
通用服务器:运行 Windows 、Windows Server 、Linux 、Unix 等操作系统的通用服务器及服务器上安装的网络服务。
专用设备:由特定目的的操作系统、软件、硬件组成的专用设备。
28、通用服务器和专用设备有什么区别?





29、网络设备有哪些?

网络设备有路由器、L2 交换机、高层路由器、无线 LAN 的 AP、无线 LAN 控制器、网络安全设备、负载均衡器和服务器设备。其中,网络安全设备又分为防火墙、UTM 、新一代防火墙、代理器、URL 过滤器、防病毒网关等;服务器设备细分为 Web 服务器设备、文件服务器设备、DHCP 服务器设备、DNS 服务器设备等。
30、网络设备有几种接口?

设备一般有两种接口,一种是用于管理设置的控制端口,另一种是用于传输用户数据流量的数据端口。网络设备通常是一个控制端口和多个数据端口。
31、什么是控制端口

对网络设备的初始设置、管理、调试等需要通过专用的端口来处理,这类端口就是控制端口( console port )或串行端口( serial port )。一般使用 RJ-45 、DB-9( RS-232 )标准。



电脑使用线缆通过 USB 接口或 DB-9 串口连接到网络设备,通过终端仿真软件与设备进行互连。连接电脑和网络设备的线缆叫做控制线缆。RJ-45 的标准和 pin 设置说明如下:





32、什么是双绞线

双绞线也叫做网线。线缆是两根细导线一组,共 4 组,外部包裹着线套。





33、双绞线有几种类型?

双绞线分为屏蔽 STP 和非屏蔽 UTP 两类。常见的是 UTP 。

  • STP( Shielded Twist Pair ):外部使用铝箔包裹,以减少外部电气噪声干扰的线缆,也叫做屏蔽网线。一般在工地等噪声干扰较多的地方使用。
  • UTP( Unshielded Twist Pair ):不带任何屏蔽的双绞线,也叫做非屏蔽网线。一般用在家庭和办公室。
34、双绞线有哪些规格?





5e 表示 5 类增强型,6a 表示 6 类扩展。
35、有了双绞线,为什么还需要光纤

虽然双绞线可以完成 10Gbit/s 速率的通信,但是传输距离短,只有 100m ,因此长距离通信采用光纤,最远可达 80km 。
36、光纤有几种类型?

光纤分为单模光纤多模光纤。为了使用不同类别的光纤,产生了单模光模块多模光模块

  • 单模光模块与单模光纤配套使用。单模光纤传输频带宽,传输容量大,适用于长距传输。
  • 多模光模块与多模光纤配套使用。多模光纤有模式色散缺陷,其传输性能比单模光纤差,但成本低,适用于较小容量、短距传输。
37、光纤的传输距离有多远?

下面列举几个典型类型:

  • 40GBASE-SR4(IEEE 802.3ba):多模光纤,400m 内传输 40GE 信号;
  • 40GBASE-LR4(IEEE 802.3ba):单模光纤,10km 内传输 40GE 信号;
  • 10GBASE-ZR:单模光纤,80km 内传输 10GE 信号。




38、光纤接口有哪些?

常见的光纤接口类型有 FCSTSCLC




  • FC
圆型带螺纹,外壳材质为金属,接口处有螺纹,和光模块连接时可以固定的很好,常用于用于光纤配线架。




  • ST
卡接式圆型,材质为金属,接口处为卡扣式,常用于光纤配线架。




  • SC
卡接式方形,俗称大方口,材质为塑料,推拉式连接,接口可以卡在光模块上,常用于光纤收发器和 GBIC 光模块。




  • LC
卡接式方形,俗称小方口,材质为塑料,常用于连接 SFP 光模块和预端接模块盒。



结束语

网络分层模型,无线网络的普及,让物理层离我们越来越远,但是没有物理层,网络就是虚无缥缈的空中楼阁。网络不是万能的,没有网线和光纤也是万万不能的。介绍完网络这些年的来龙去脉,希望可以帮助大家更容易的理解网络概念,也希望能够关注、点赞、分享和转发!
回复

使用道具 举报

1

主题

3

帖子

4

积分

新手上路

Rank: 1

积分
4
发表于 2023-4-26 19:30:01 | 显示全部楼层
[赞同]
回复

使用道具 举报

您需要登录后才可以回帖 登录 | 立即注册

本版积分规则

Archiver|手机版|小黑屋|多点娱乐

GMT+8, 2025-12-20 11:03 , Processed in 0.167981 second(s), 22 queries .

Powered by Discuz! X3.4

© 2001-2017 Comsenz Inc.

快速回复 返回顶部 返回列表